Официальное опубликование правовых актов
ОФИЦИАЛЬНОЕ ОПУБЛИКОВАНИЕ
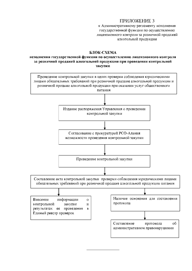
Постановление Правительства Республики Северная Осетия - Алания от 21.11.2017 № 424
"Об утверждении административного регламента исполнения Управлением Республики Северная Осетия-Алания по государственному регулированию производства и оборота алкогольной и спиртосодержащей продукции государственной функции по осуществлению лицензионного контроля за розничной продажей алкогольной продукции и розничной продажей алкогольной продукции при оказании услуг общественного питания"
Номер опубликования: 1500201711240002
Дата опубликования: 24.11.2017
Страница №37 из 38:
Увеличить