Официальное опубликование правовых актов
ОФИЦИАЛЬНОЕ ОПУБЛИКОВАНИЕ
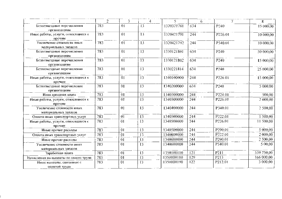
Распоряжение Правительства Республики Северная Осетия - Алания от 25.10.2017 № 365-р
"Об отмене установленных ограничений по лимитам бюджетных обязательств на 2017 год"
Номер опубликования: 1500201710300001
Дата опубликования: 30.10.2017
Страница №5 из 7:
Увеличить