Официальное опубликование правовых актов
ОФИЦИАЛЬНОЕ ОПУБЛИКОВАНИЕ
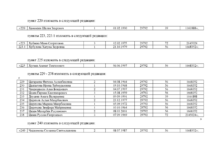
Постановление Правительства Республики Северная Осетия - Алания от 15.08.2017 № 324
"О внесении изменений в некоторые нормативные правовые акты Правительства Республики Северная Осетия-Алания по вопросам обеспечения жильем граждан, пострадавших в результате террористического акта в г. Беслане 1-3 сентября 2004 года"
Номер опубликования: 1500201708230007
Дата опубликования: 23.08.2017
Страница №15 из 20:
Увеличить