Официальное опубликование правовых актов
ОФИЦИАЛЬНОЕ ОПУБЛИКОВАНИЕ
Постановление Правительства Республики Северная Осетия - Алания от 15.08.2017 № 309
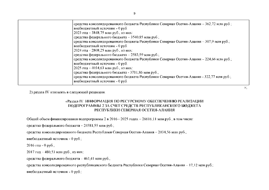
"О внесении изменений в постановление Правительства Республики Северная Осетия-Алания от 26 декабря 2016 года № 474 "О государственной программе Республики Северная Осетия-Алания "Создание новых мест в общеобразовательных организациях в соответствии с прогнозируемой потребностью и современными условиями обучения в Республике Северная Осетия-Алания"на 2016-2025 годы"
Номер опубликования: 1500201708230001
Дата опубликования: 23.08.2017
Страница №10 из 83:
Увеличить