Официальное опубликование правовых актов
ОФИЦИАЛЬНОЕ ОПУБЛИКОВАНИЕ
Постановление Правительства Республики Северная Осетия - Алания от 01.08.2017 № 291
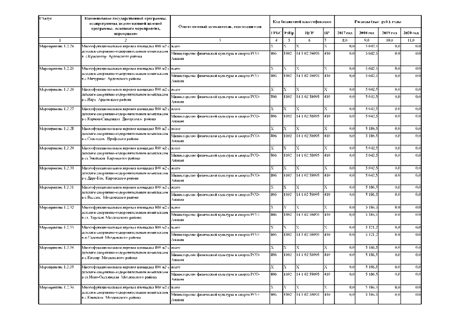
"О внесении изменений в постановление Правительства Республики Северная Осетия-Алания от 26 декабря 2016 года № 468 "О Государственной программе Республики Северная Осетия-Алания "Развитие физической культуры и спорта в Республике Северная Осетия-Алания" на 2017 - 2020 годы"
Номер опубликования: 1500201708070008
Дата опубликования: 07.08.2017
Страница №7 из 12:
Увеличить