Официальное опубликование правовых актов
ОФИЦИАЛЬНОЕ ОПУБЛИКОВАНИЕ
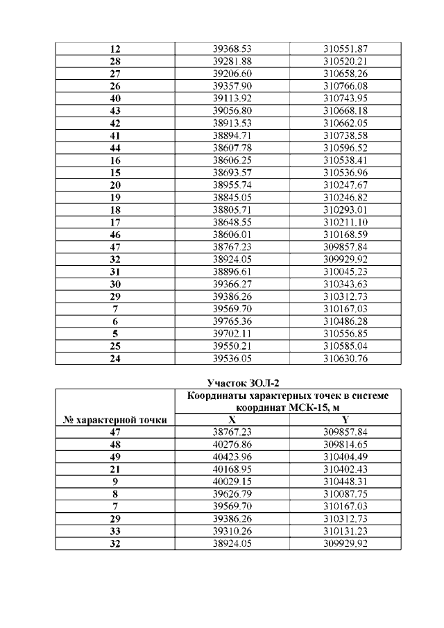
Постановление Правительства Республики Северная Осетия - Алания от 07.06.2017 № 234
"Об утверждении границ зон охраны, границ объединенной зоны охраны, особых режимов использования земель и требований к градостроительным регламентам в границах охранных зон объектов культурного наследия федерального и регионального значения, расположенных на территории Алагирского и Ирафского районов Республики Северная Осетия-Алания"
Номер опубликования: 1500201706160001
Дата опубликования: 16.06.2017
Страница №50 из 67:
Увеличить