Официальное опубликование правовых актов
ОФИЦИАЛЬНОЕ ОПУБЛИКОВАНИЕ
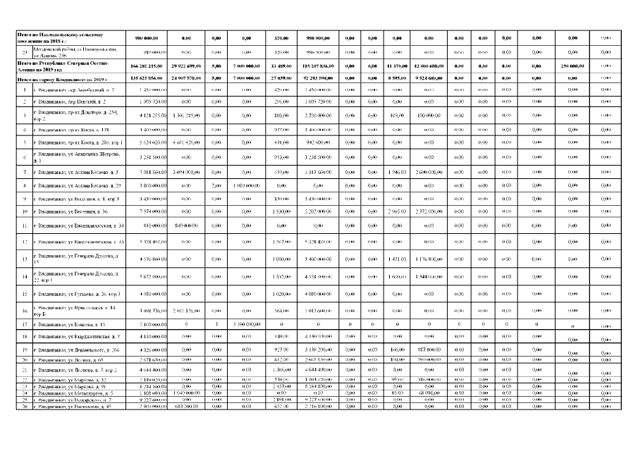
Постановление Правительства Республики Северная Осетия - Алания от 07.06.2017 № 231
"О краткосрочной республиканской программе "Капитальный ремонт общего имущества в многоквартирных домах"на 2017 - 2019 годы"
Номер опубликования: 1500201706150009
Дата опубликования: 15.06.2017
Страница №24 из 26:
Увеличить