Официальное опубликование правовых актов
ОФИЦИАЛЬНОЕ ОПУБЛИКОВАНИЕ
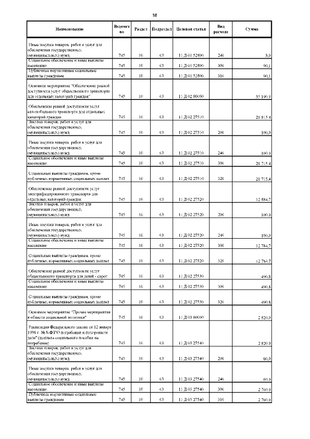
Закон Главы Республики Северная Осетия - Алания, Республики Северная Осетия - Алания от 03.05.2017 № 16-РЗ
"О внесении изменений в Закон Республики Северная Осетия - Алания "О республиканском бюджете Республики Северная Осетия - Алания на 2017 год и на плановый период 2018 и 2019 годов"
Номер опубликования: 1500201705050003
Дата опубликования: 05.05.2017
Страница №65 из 429:
Увеличить