Официальное опубликование правовых актов
ОФИЦИАЛЬНОЕ ОПУБЛИКОВАНИЕ
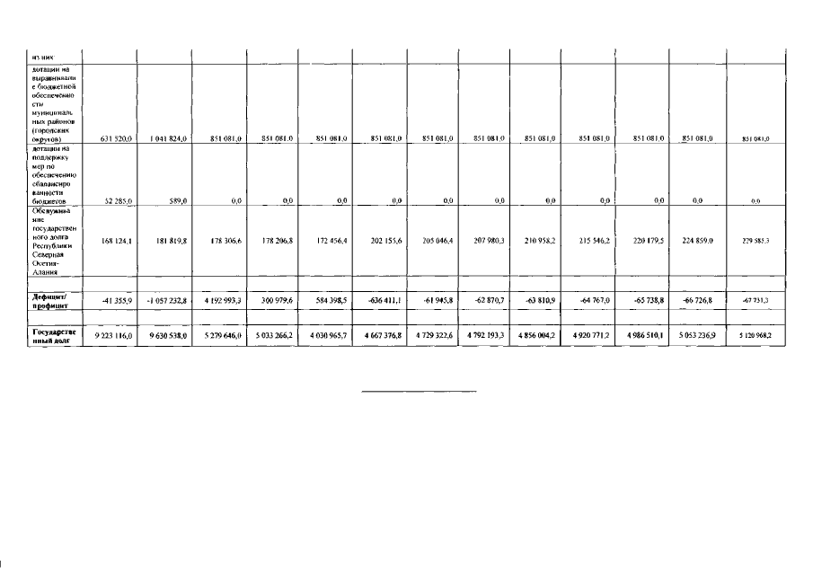
Постановление Правительства Республики Северная Осетия - Алания от 11.04.2017 № 149
"Об утверждении бюджетного прогноза Республики Северная Осетия-Алания до 2028 года"
Номер опубликования: 1500201704140006
Дата опубликования: 14.04.2017
Страница №7 из 18:
Увеличить