Официальное опубликование правовых актов
ОФИЦИАЛЬНОЕ ОПУБЛИКОВАНИЕ
Постановление Правительства Республики Северная Осетия - Алания от 27.03.2017 № 132
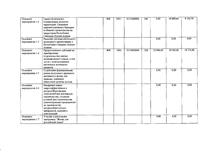
"О внесении изменений в постановление Правительства Республики Северная Осетия-Алания от 15 марта 2016 года № 73 "О государственной программе Республики Северная Осетия-Алания "Обеспечение доступным и комфортным жильем граждан в Республике Северная Осетия-Алания" на 2016-2018 годы"
Номер опубликования: 1500201704030002
Дата опубликования: 03.04.2017
Страница №18 из 33:
Увеличить