Официальное опубликование правовых актов
ОФИЦИАЛЬНОЕ ОПУБЛИКОВАНИЕ
Постановление Правительства Республики Северная Осетия - Алания от 14.03.2017 № 110
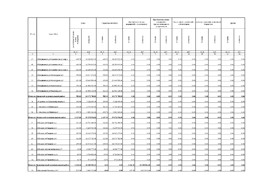
"О внесении изменений в постановление Правительства Республики Северная Осетия-Алания от 31 мая 2013 года №207 "Об адресной программе Республики Северная Осетия-Алания "Переселение граждан из аварийного жилищного фонда на 2013-2017 годы (в том числе с учётом необходимости развития малоэтажного жилищного строительства)"
Номер опубликования: 1500201703220001
Дата опубликования: 22.03.2017
Страница №21 из 26:
Увеличить