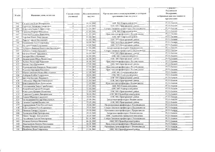
Постановление Правительства Республики Северная Осетия - Алания от 14.03.2017 № 122
"Об утверждении списка граждан - получателей государственных жилищных сертификатов на 2017 год по подпрограмме "Выполнение государственных обязательств по обеспечению жильем категорий граждан, установленных федеральным законодательством" федеральной целевой программы "Жилище" на 2015 - 2020 годы"
"Об утверждении списка граждан - получателей государственных жилищных сертификатов на 2017 год по подпрограмме "Выполнение государственных обязательств по обеспечению жильем категорий граждан, установленных федеральным законодательством" федеральной целевой программы "Жилище" на 2015 - 2020 годы"
Номер опубликования: 1500201703200006
Дата опубликования:
20.03.2017
