Официальное опубликование правовых актов
ОФИЦИАЛЬНОЕ ОПУБЛИКОВАНИЕ
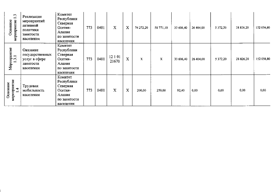
Постановление Правительства Республики Северная Осетия - Алания от 26.12.2016 № 452
"О внесении изменений в постановление Правительства Республики Северная Осетия-Алания от 28 октября 2013 г. № 383 "О государственной программе Республики Северная Осетия-Алания "Содействие занятости населения Республики Северная Осетия - Алания" на 2014-2018 годы"
Номер опубликования: 1500201612300022
Дата опубликования: 30.12.2016
Страница №33 из 46:
Увеличить