Официальное опубликование правовых актов
ОФИЦИАЛЬНОЕ ОПУБЛИКОВАНИЕ
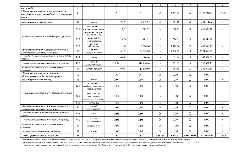
Постановление Правительства Республики Северная Осетия - Алания от 26.12.2016 № 458
"О Территориальной программе государственных гарантий бесплатного оказания гражданам медицинской помощи на территории Республики Северная Осетия-Алания на 2017 год и на плановый период 2018 и 2019 годов"
Номер опубликования: 1500201612300015
Дата опубликования: 30.12.2016
Страница №214 из 221:
Увеличить