Официальное опубликование правовых актов
ОФИЦИАЛЬНОЕ ОПУБЛИКОВАНИЕ
Постановление Правительства Республики Северная Осетия - Алания от 13.12.2016 № 431
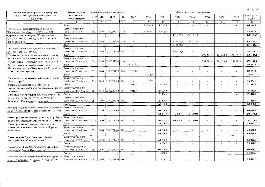
"О внесении изменений в постановление Правительства Республики Северная Осетия-Алания от 15 ноября 2013 г. № 410 "О государственной программе Республики Северная Осетия-Алания "Модернизация и развитие автомобильных дорог общего пользования регионального (межмуниципального) и местного значения Республики Северная Осетия-Алания" на период до 2022 года"
Номер опубликования: 1500201612190018
Дата опубликования: 19.12.2016
Страница №14 из 17:
Увеличить