Официальное опубликование правовых актов
ОФИЦИАЛЬНОЕ ОПУБЛИКОВАНИЕ
Постановление Правительства Республики Северная Осетия - Алания от 13.09.2016 № 327
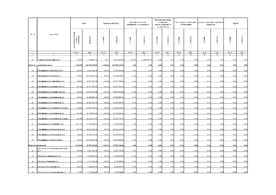
"О внесении изменений в постановление Правительства Республики Северная Осетия-Алания от 31 мая 2013 года №207 "Об адресной программе Республики Северная Осетия-Алания "Переселение граждан из аварийного жилищного фонда на 2013-2017 годы (в том числе с учётом необходимости развития малоэтажного жилищного строительства)"
Номер опубликования: 1500201609210005
Дата опубликования: 21.09.2016
Страница №21 из 28:
Увеличить