Официальное опубликование правовых актов
ОФИЦИАЛЬНОЕ ОПУБЛИКОВАНИЕ
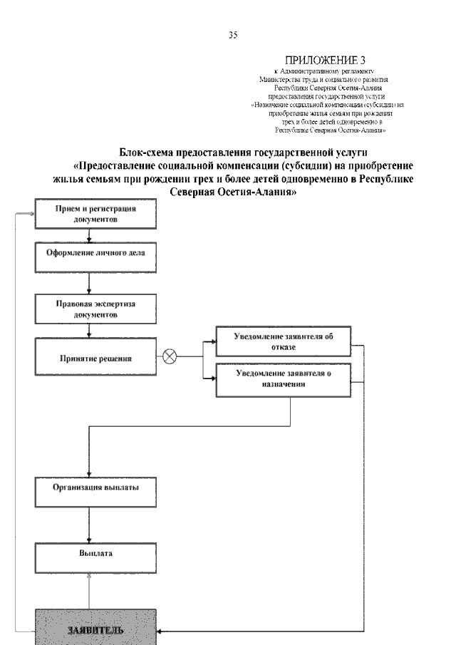
Постановление Правительства Республики Северная Осетия - Алания от 16.08.2016 № 299
"О внесении изменений в постановление Правительства Республики Северная Осетия-Алания от 16 февраля 2010 г. № 34 "Об утверждении административных регламентов предоставления государственных услуг"
Номер опубликования: 1500201608250012
Дата опубликования: 25.08.2016
Страница №162 из 168:
Увеличить