Официальное опубликование правовых актов
ОФИЦИАЛЬНОЕ ОПУБЛИКОВАНИЕ
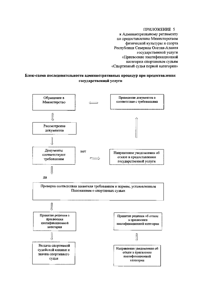
Постановление Правительства Республики Северная Осетия - Алания от 16.08.2016 № 298
"Об утверждении административных регламентов Министерства физической культуры и спорта Республики Северная Осетия-Алания"
Номер опубликования: 1500201608250010
Дата опубликования: 25.08.2016
Страница №45 из 45:
Увеличить