Официальное опубликование правовых актов
ОФИЦИАЛЬНОЕ ОПУБЛИКОВАНИЕ
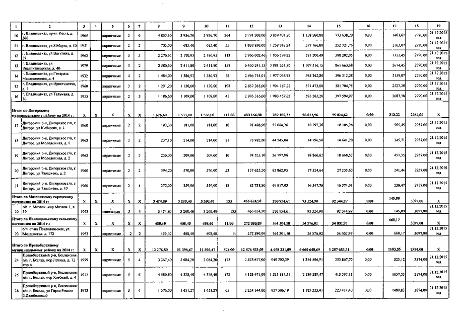
Постановление Правительства Республики Северная Осетия - Алания от 16.08.2016 № 290
"О внесении изменений в постановление Правительства Республики Северная Осетия-Алания от 16 мая 2014 года №171 "О краткосрочной республиканской программе "Капитальный ремонт общего имущества в многоквартирных домах" на 2014-2016 годы"
Номер опубликования: 1500201608250005
Дата опубликования: 25.08.2016
Страница №8 из 25:
Увеличить