Постановление Правительства Республики Северная Осетия - Алания от 02.08.2016 № 273
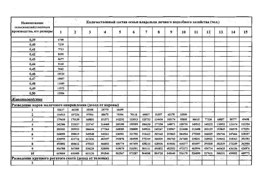
"О годовых нормативах чистого дохода в стоимостном выражении от реализации плодов и продукции, полученных в личном подсобном хозяйстве, в Республике Северная Осетия-Алания на II полугодие 2016 года"
"О годовых нормативах чистого дохода в стоимостном выражении от реализации плодов и продукции, полученных в личном подсобном хозяйстве, в Республике Северная Осетия-Алания на II полугодие 2016 года"
Номер опубликования: 1500201608050006
Дата опубликования:
05.08.2016
