Официальное опубликование правовых актов
ОФИЦИАЛЬНОЕ ОПУБЛИКОВАНИЕ
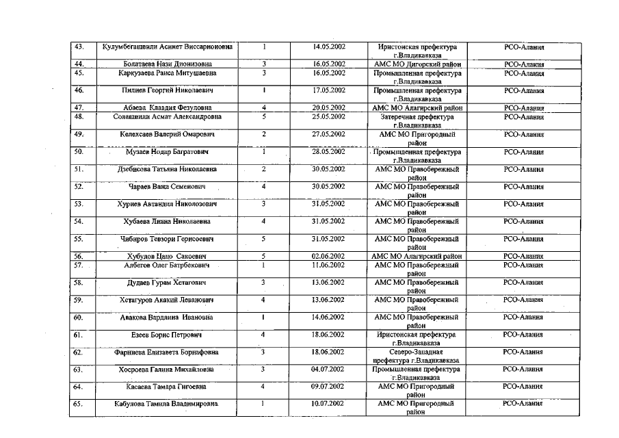
Постановление Правительства Республики Северная Осетия - Алания от 19.07.2016 № 256
"Об утверждении списка граждан — получателей государственных жилищных сертификатов на 2016 год по подпрограмме "Выполнение государственных обязательств по обеспечению жильем категорий граждан, установленных федеральным законодательством" Федеральной целевой программы "Жилище" на 2015 - 2020 годы"
Номер опубликования: 1500201607250009
Дата опубликования: 25.07.2016
Страница №4 из 5:
Увеличить