Официальное опубликование правовых актов
ОФИЦИАЛЬНОЕ ОПУБЛИКОВАНИЕ
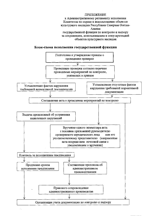
Постановление Правительства Республики Северная Осетия - Алания от 07.06.2016 № 203
"Об утверждении административного регламента исполнения Комитетом по охране и использованию объектов культурного наследия Республики Северная Осетия-Алания государственной функции по контролю и надзору за сохранением, использованием и популяризацией объектов культурного наследия"
Номер опубликования: 1500201606160001
Дата опубликования: 16.06.2016
Страница №20 из 20:
Увеличить