Постановление Правительства Республики Северная Осетия - Алания от 02.02.2016 № 16
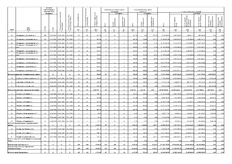
"О внесении изменений в постановление Правительства Республики Северная Осетия-Алания от 31 мая 2013 года №207 "Об адресной программе Республики Северная Осетия- Алания "Переселение граждан из аварийного жилищного фонда на 2013-2017 годы (в том числе с учётом необходимости развития малоэтажного жилищного строительства)"
"О внесении изменений в постановление Правительства Республики Северная Осетия-Алания от 31 мая 2013 года №207 "Об адресной программе Республики Северная Осетия- Алания "Переселение граждан из аварийного жилищного фонда на 2013-2017 годы (в том числе с учётом необходимости развития малоэтажного жилищного строительства)"
Номер опубликования: 1500201602100019
Дата опубликования:
10.02.2016
