Официальное опубликование правовых актов
ОФИЦИАЛЬНОЕ ОПУБЛИКОВАНИЕ
Постановление Правительства Республики Северная Осетия - Алания от 19.01.2016 № 6
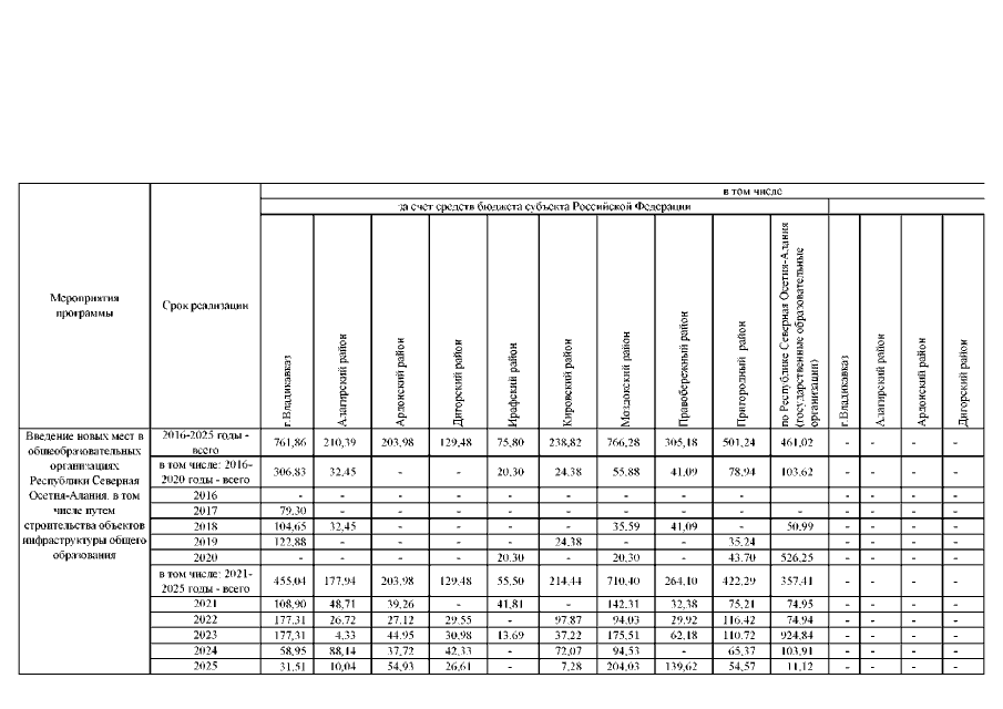
"Об утверждении программы Республики Северная Осетия-Алания, направленной на создание новых мест в общеобразовательных организациях в соответствии с прогнозируемой потребностью и современными условиями обучения, на 2016-2025 гг."
Номер опубликования: 1500201601220010
Дата опубликования: 22.01.2016
Страница №12 из 13:
Увеличить