Официальное опубликование правовых актов
ОФИЦИАЛЬНОЕ ОПУБЛИКОВАНИЕ
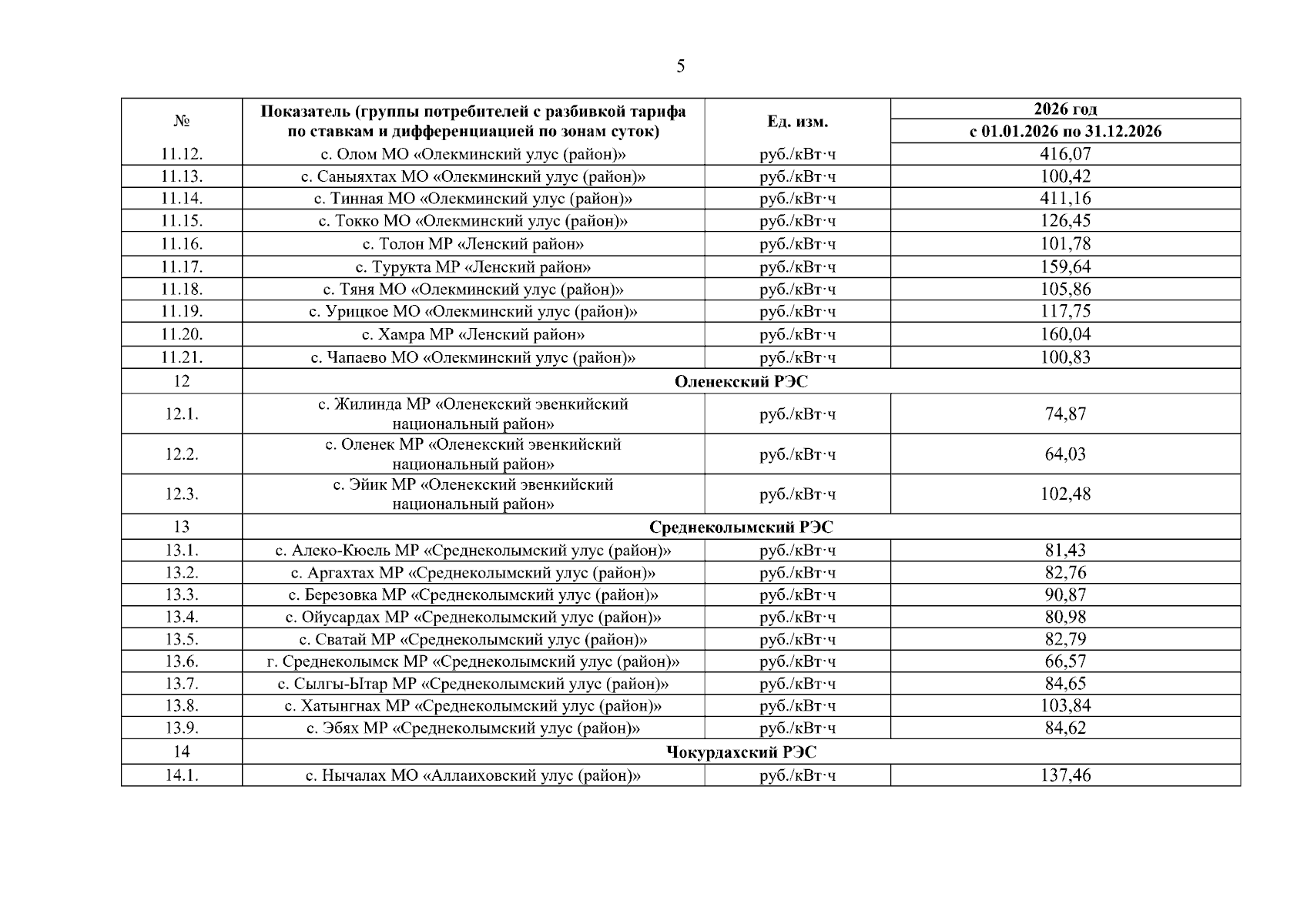
Постановление Государственного комитета по ценовой политике Республики Саха (Якутия) от 24.12.2025 № 337
"О внесении изменений в постановление Правления Государственного комитета по ценовой политике РС(Я) от 15.12.2025 № 240 "Об установлении тарифов на электрическую энергию (мощность), поставляемую АО "Сахаэнерго" потребителям Республики Саха (Якутия) на 2026 год"
(Зарегистрирован 29.12.2025 № RU1401420222970)
Номер опубликования: 1401202512290002
Дата опубликования: 29.12.2025
Страница №7 из 9:
Увеличить