Официальное опубликование правовых актов
ОФИЦИАЛЬНОЕ ОПУБЛИКОВАНИЕ
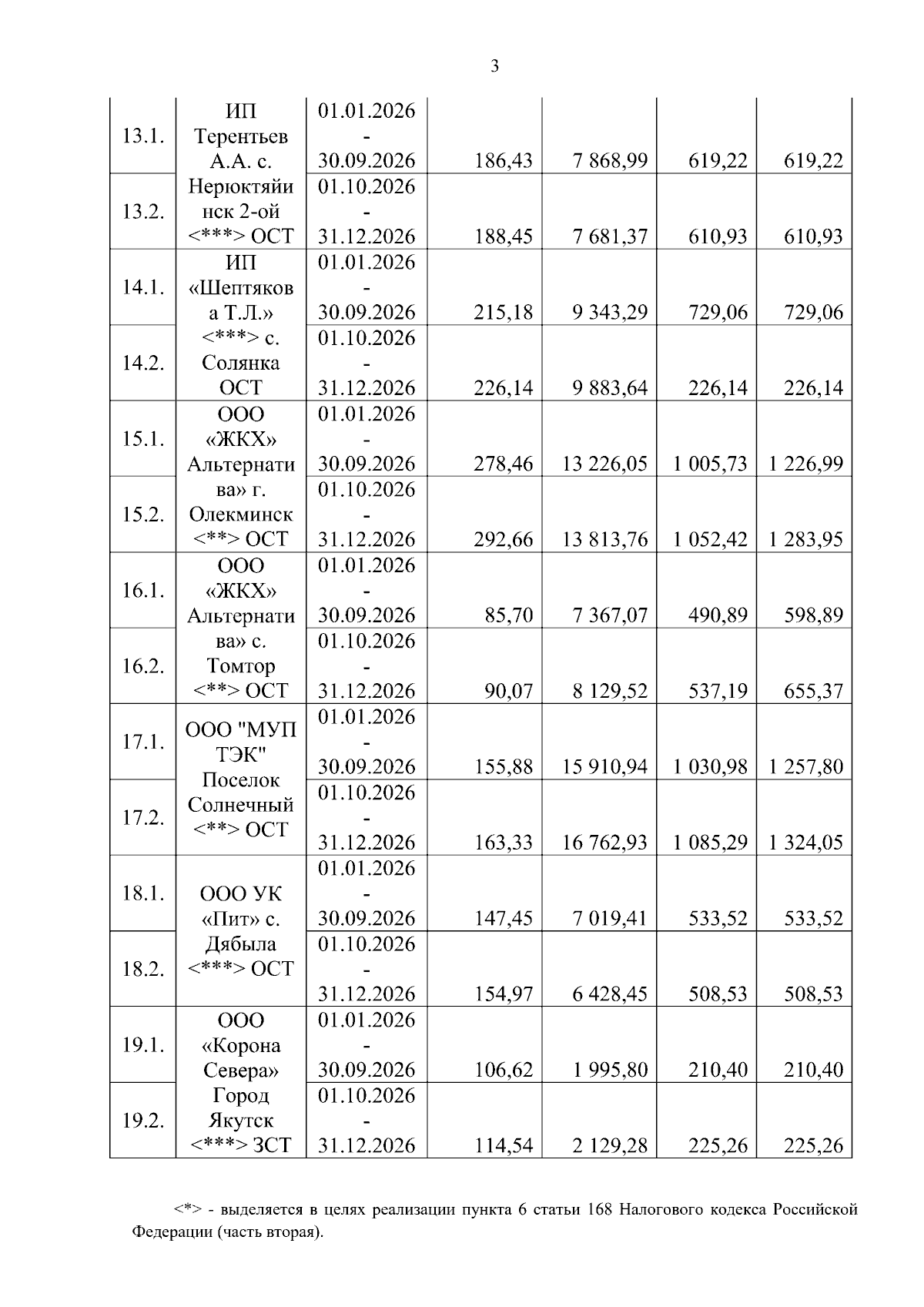
Постановление Государственного комитета по ценовой политике Республики Саха (Якутия) от 20.12.2025 № 323
"Об установлении тарифов на горячую воду (горячее водоснабжение) и теплоноситель, поставляемые организациями коммунального комплекса потребителям Республики Саха (Якутия) на 2026 год и на долгосрочные периоды 2026-2028, 2026-2030 года, и о внесении изменений в отдельные постановления Правления Государственного комитета по ценовой политике Республики Саха (Якутия)"
(Зарегистрирован 26.12.2025 № RU1401420222962)
Номер опубликования: 1401202512260004
Дата опубликования: 26.12.2025
Страница №95 из 103:
Увеличить