Официальное опубликование правовых актов
ОФИЦИАЛЬНОЕ ОПУБЛИКОВАНИЕ
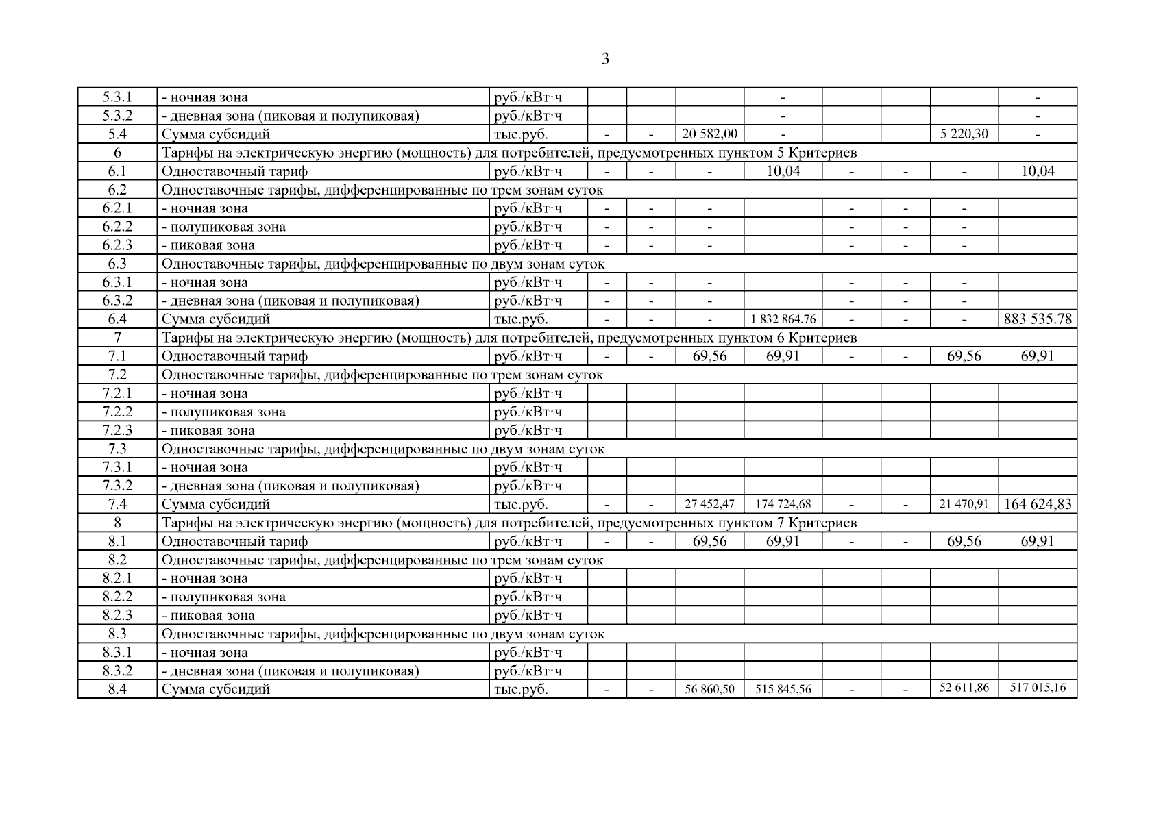
Постановление Государственного комитета по ценовой политике Республики Саха (Якутия) от 15.12.2025 № 240
"Об установлении тарифов на электрическую энергию (мощность), поставляемую АО "Сахаэнерго" потребителям Республики Саха (Якутия) на 2026 год"
(Зарегистрирован 23.12.2025 № RU1401420222894)
Номер опубликования: 1401202512240005
Дата опубликования: 24.12.2025
Страница №5 из 7:
Увеличить