Официальное опубликование правовых актов
ОФИЦИАЛЬНОЕ ОПУБЛИКОВАНИЕ
Приказ Министерства экологии, природопользования и лесного хозяйства Республики Саха (Якутия) от 30.10.2025 № 01-05/1-732
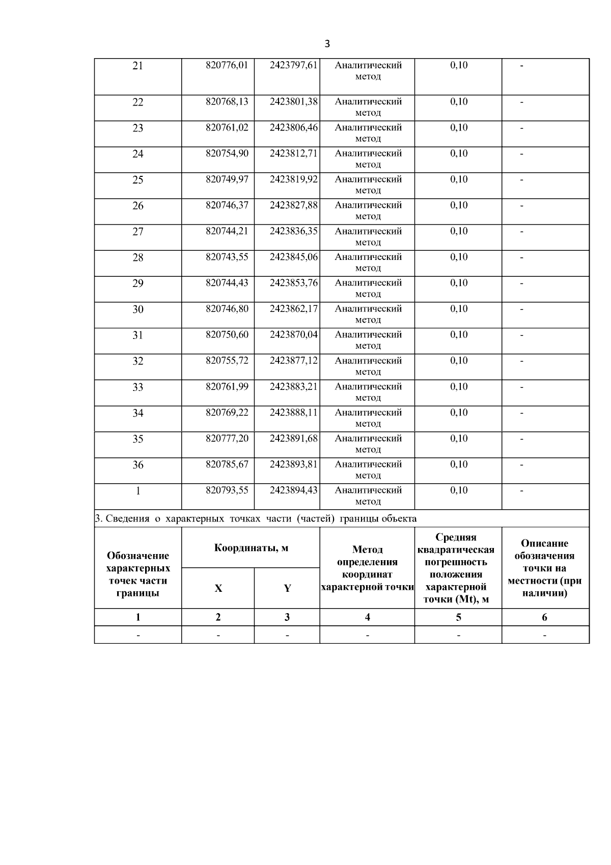
"Об установлении границ зон санитарной охраны (ЗСО) для водозаборной скважины "Школьная 1" АО "Теплоэнергосервис". Республика Саха (Якутия), Ленский район, г. Ленск, мкр. Мухтуя"
(Зарегистрирован 06.11.2025 № 01-05/1-732)
Номер опубликования: 1401202511100003
Дата опубликования: 10.11.2025
Страница №5 из 21:
Увеличить