Официальное опубликование правовых актов
ОФИЦИАЛЬНОЕ ОПУБЛИКОВАНИЕ
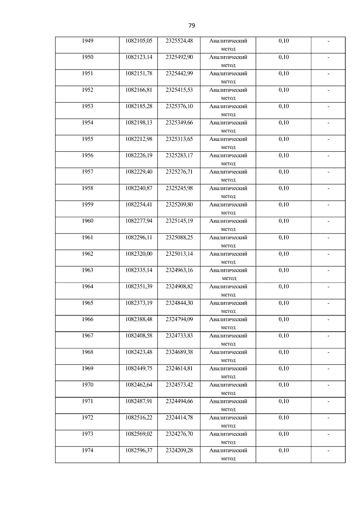
Приказ Министерства экологии, природопользования и лесного хозяйства Республики Саха (Якутия) от 30.10.2025 № 01-05/1-731
"Об установлении границ зон санитарной охраны (ЗСО) водозабора на р. Вилюй для питьевого и хозяйственно-бытового водоснабжения п. Светлый Мирнинского района Республики Саха (Якутия) (АО "Теплоэнергосервис")"
(Зарегистрирован 06.11.2025 № RU1401420222768)
Номер опубликования: 1401202511100002
Дата опубликования: 10.11.2025
Страница №84 из 116:
Увеличить