Официальное опубликование правовых актов
ОФИЦИАЛЬНОЕ ОПУБЛИКОВАНИЕ
Приказ Министерства экологии, природопользования и лесного хозяйства Республики Саха (Якутия) от 25.08.2025 № 01-05/1-565
"Об установлении границ зон санитарной охраны водопроводных сооружений п. Геолог. Республика Саха (Якутия), г. Якутск, ул. Билибина, квартал "76" (на территории АО "Водоканал")"
(Зарегистрирован 02.09.2025 № RU1401420222710)
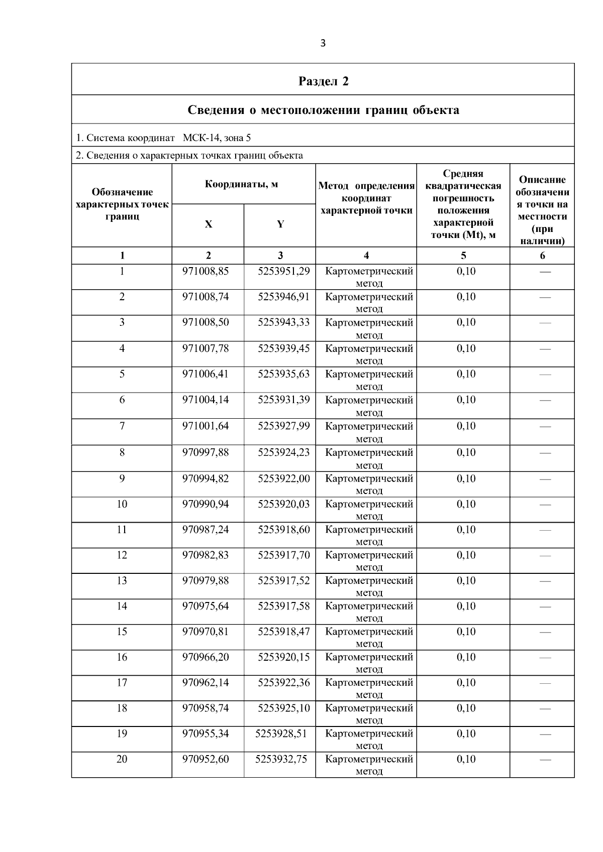
Номер опубликования: 1401202509050009
Дата опубликования: 05.09.2025
Страница №5 из 13:
Увеличить