Постановление Государственного комитета по ценовой политике Республики Саха (Якутия) от 18.04.2025 № 59
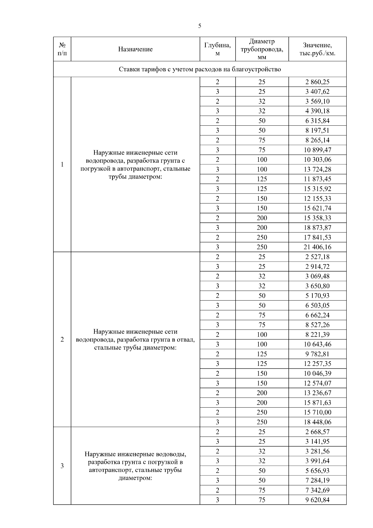
"Об установлении ставок тарифов на подключение (технологическое присоединение) к централизованным системам холодного водоснабжения МАУ "Сунтар" на 2025 год"
(Зарегистрирован 24.04.2025 № RU1401420222549)
"Об установлении ставок тарифов на подключение (технологическое присоединение) к централизованным системам холодного водоснабжения МАУ "Сунтар" на 2025 год"
(Зарегистрирован 24.04.2025 № RU1401420222549)
Номер опубликования: 1401202504290004
Дата опубликования:
29.04.2025
