Официальное опубликование правовых актов
ОФИЦИАЛЬНОЕ ОПУБЛИКОВАНИЕ
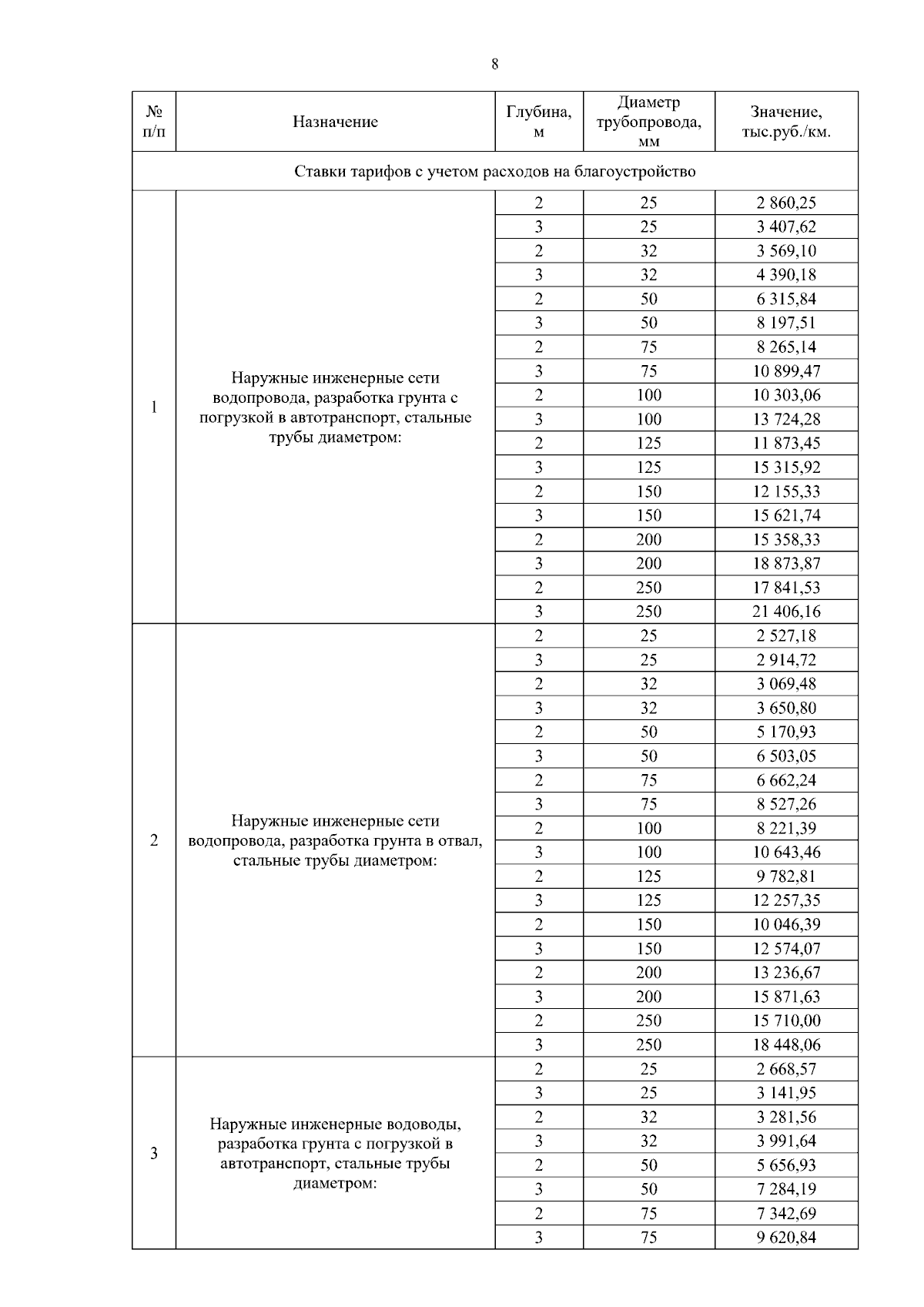
Постановление Государственного комитета по ценовой политике Республики Саха (Якутия) от 26.02.2025 № 32
"Об установлении ставок тарифов на подключение (технологическое присоединение) к централизованным системам холодного, горячего водоснабжения и водоотведения ООО "Предприятие тепловодоснабжения" на 2025 год"
(Зарегистрирован 04.03.2025 № RU1401420222494)
Номер опубликования: 1401202503060003
Дата опубликования: 06.03.2025
Страница №8 из 15:
Увеличить