Официальное опубликование правовых актов
ОФИЦИАЛЬНОЕ ОПУБЛИКОВАНИЕ
Приказ Министерства экологии, природопользования и лесного хозяйства Республики Саха (Якутия) от 17.01.2025 № 01-05/1-20
"Об установлении границ зон санитарной охраны водозаборного участка на р. Алдан для питьевого и хозяйственно-бытового водоснабжения с. Эжанцы муниципального образования сельское поселение "Эжанский национальный наслег" Усть-Майского улуса (района) Республики Саха (Якутия)"
(Зарегистрирован 27.01.2025 № RU1401420222434)
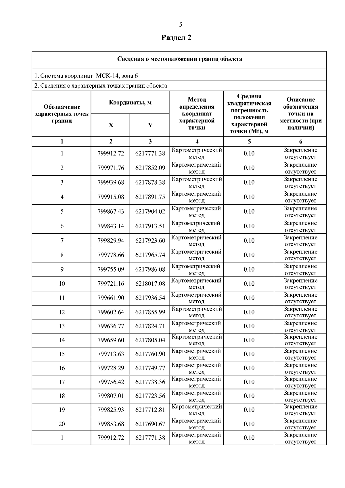
Номер опубликования: 1401202501270002
Дата опубликования: 27.01.2025
Страница №5 из 38:
Увеличить