Официальное опубликование правовых актов
ОФИЦИАЛЬНОЕ ОПУБЛИКОВАНИЕ
Постановление Государственного комитета по ценовой политике Республики Саха (Якутия) от 06.12.2024 № 225
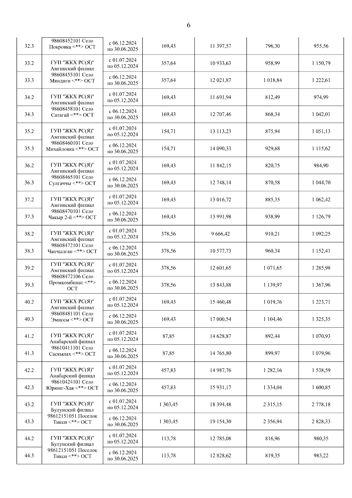
"О внесении изменений в постановление Правления Государственного комитета по ценовой политике РС(Я) от 20.12.2023 № 234 "Об установлении тарифов на горячую воду в системах теплоснабжения (горячее водоснабжение) и теплоноситель, поставляемые теплоснабжающими организациями потребителям Республики Саха (Якутия) на 2024- 2028 годы"
(Зарегистрирован 12.12.2024 № RU140142022222931)
Номер опубликования: 1401202412180017
Дата опубликования: 18.12.2024
Страница №6 из 28:
Увеличить