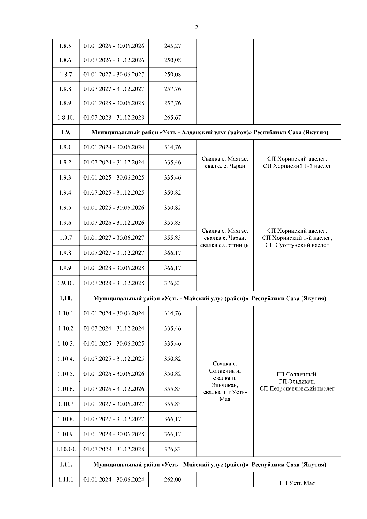
Постановление Государственного комитета по ценовой политике Республики Саха (Якутия) от 22.11.2024 № 183
"О внесении изменений в постановление Правления Государственного комитета по ценовой политике Республики Саха (Якутия) от 20 декабря 2023 года № 226 "Об установлении долгосрочных предельных тарифов операторам захоронения твердых коммунальных отходов на территории Республики Саха (Якутия) на долгосрочный период 2024-2028 годы"
(Зарегистрирован 27.11.2024 № RU1401420222185)
"О внесении изменений в постановление Правления Государственного комитета по ценовой политике Республики Саха (Якутия) от 20 декабря 2023 года № 226 "Об установлении долгосрочных предельных тарифов операторам захоронения твердых коммунальных отходов на территории Республики Саха (Якутия) на долгосрочный период 2024-2028 годы"
(Зарегистрирован 27.11.2024 № RU1401420222185)
Номер опубликования: 1401202411280008
Дата опубликования:
28.11.2024
