Официальное опубликование правовых актов
ОФИЦИАЛЬНОЕ ОПУБЛИКОВАНИЕ
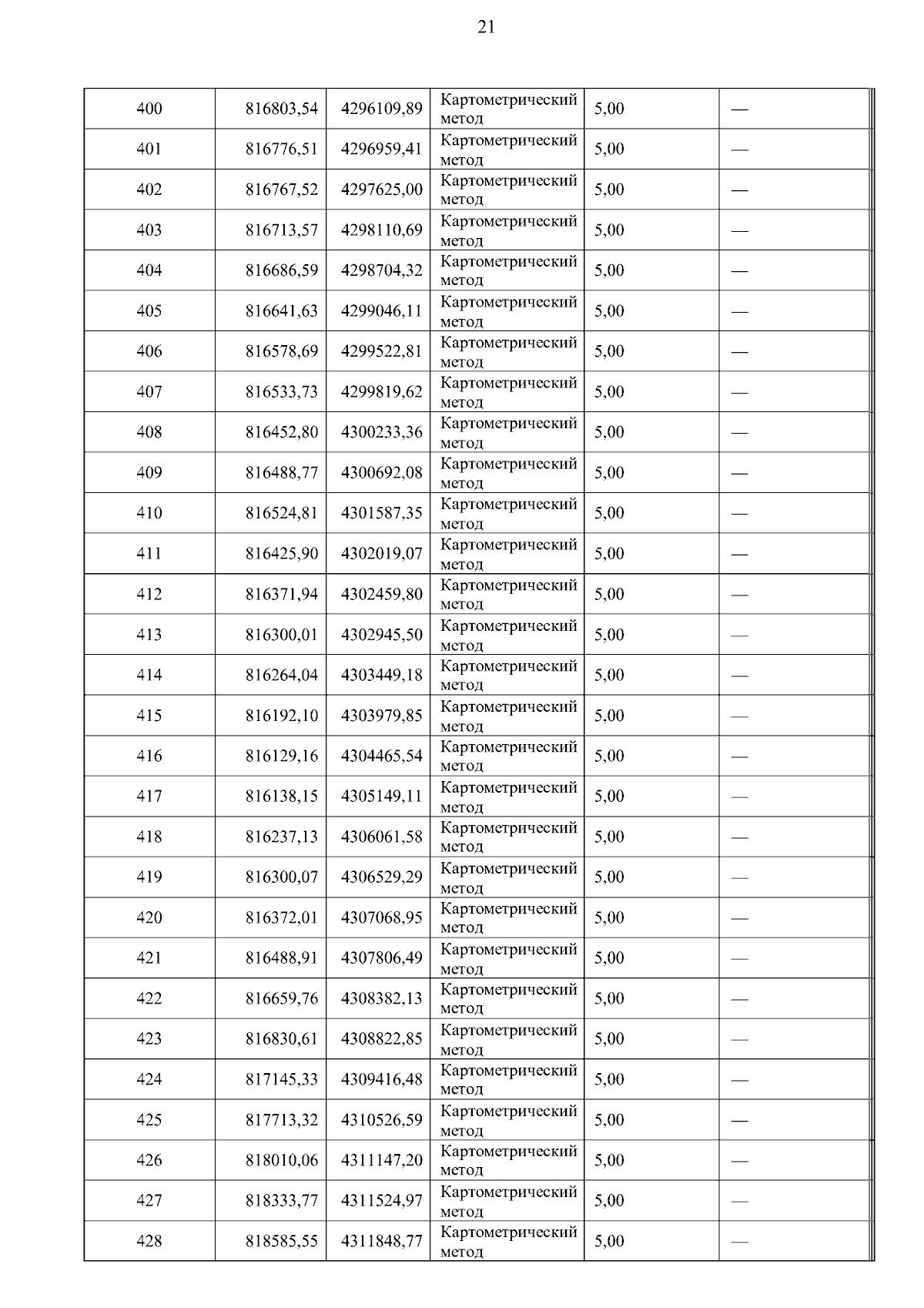
Приказ Министерства экологии, природопользования и лесного хозяйства Республики Саха (Якутия) от 23.10.2024 № 01-05/1-846
"Об установлении границ зон санитарной охраны источника водоснабжения (водозабор на р. Лена в с. Качикатцы) филиала Хангаласского района ГУП "ЖКХ РС(Я)" для хозяйственно-питьевого водоснабжения"
(Зарегистрирован 05.11.2024 № RU1401420222147)
Номер опубликования: 1401202411070002
Дата опубликования: 07.11.2024
Страница №21 из 105:
Увеличить