Официальное опубликование правовых актов
ОФИЦИАЛЬНОЕ ОПУБЛИКОВАНИЕ
Приказ Министерства экологии, природопользования и лесного хозяйства Республики Саха (Якутия) от 26.09.2024 № 01-05/1-769
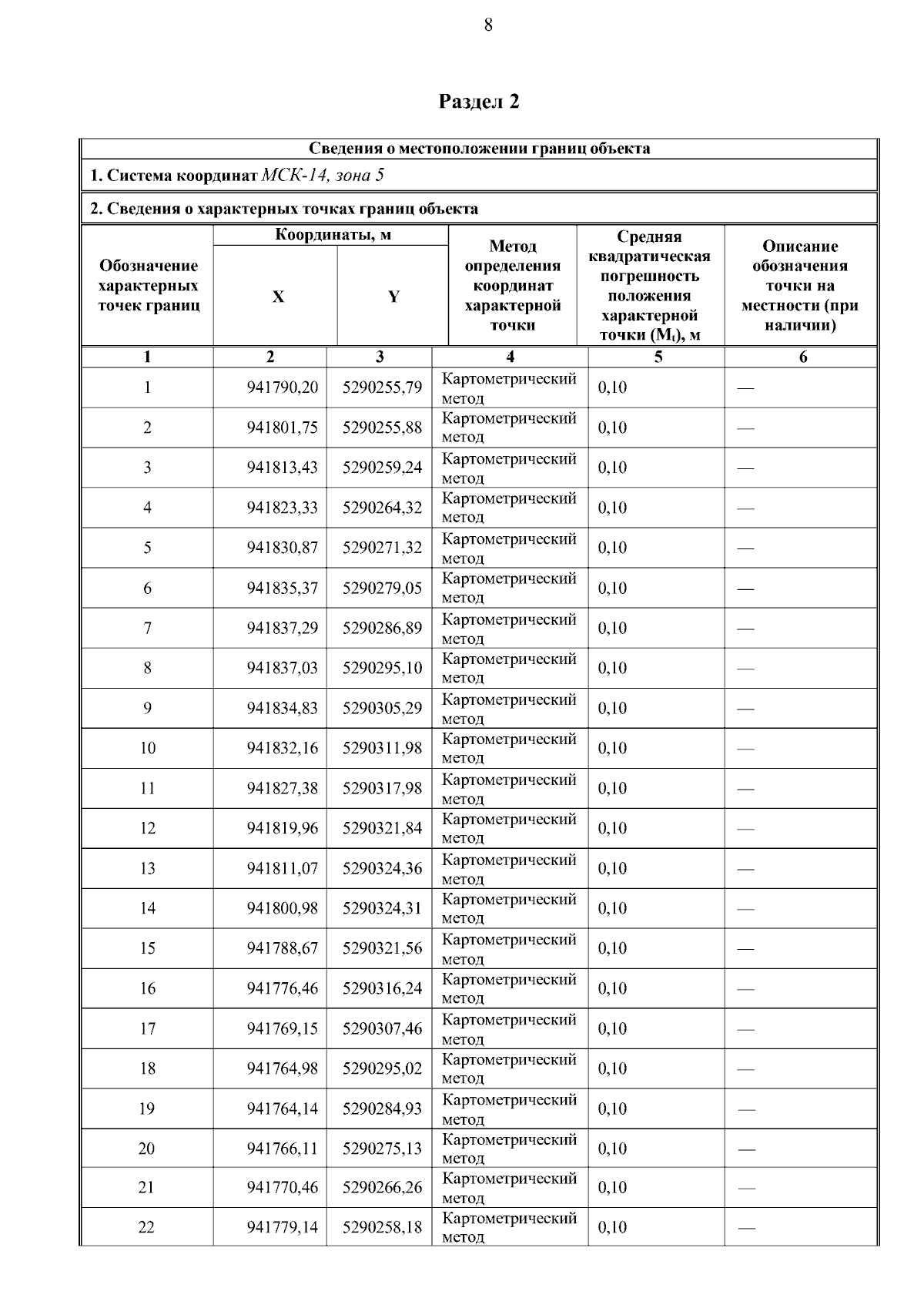
"Об установлении границ зон санитарной охраны водозабора подземных вод Бекенского МТПВ водозаборная скважина №3/92 в с. Беке Мегино-Кангаласского района РС (Я) (ГУП "ЖКХ РС(Я)"). Республика Саха (Якутия), Мегино-Кангаласский район, с. Беке"
(Зарегистрирован 10.10.2024 № RU1401420222104)
Номер опубликования: 1401202410110004
Дата опубликования: 11.10.2024
Страница №8 из 19:
Увеличить