Официальное опубликование правовых актов
ОФИЦИАЛЬНОЕ ОПУБЛИКОВАНИЕ
Приказ Министерства экологии, природопользования и лесного хозяйства Республики Саха (Якутия) от 16.09.2024 № 01-05/1-745
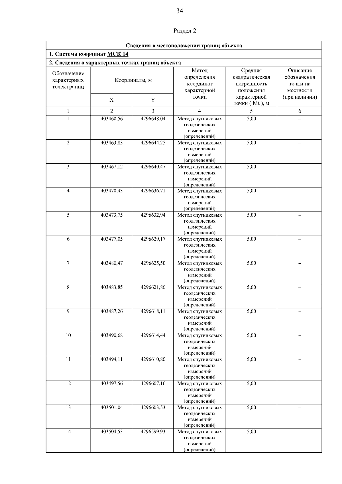
"Об установлении границ зон санитарной охраны скважинного водозабора (скв №№6-Э, 7-Э, 8-Э) подземных вод,АО ГОК "Инаглинский". Республика Саха (Якутия), Нерюнгринский район, участок Западный, Чульманское месторождение подземных вод ГОК "Инаглинский"
(Зарегистрирован 30.09.2024 № RU1401420222089)
Номер опубликования: 1401202410010004
Дата опубликования: 01.10.2024
Страница №34 из 58:
Увеличить