Официальное опубликование правовых актов
ОФИЦИАЛЬНОЕ ОПУБЛИКОВАНИЕ
Приказ Министерства экологии, природопользования и лесного хозяйства Республики Саха (Якутия) от 16.09.2024 № 01-05/1-742
"Об установлении границ зон санитарной охраны водозаборного участка на оз. Уолбут для питьевого и хозяйственно-бытового водоснабжения с. Тамалакан Муниципального образования "Тамалаканский наслег" Верхневилюйского улуса (района) Республики Саха (Якутия) (водозабор находится на юго-западном берегу оз. Уолбут)"
(Зарегистрирован 30.09.2024 № RU1401420222092)
Номер опубликования: 1401202409300003
Дата опубликования: 30.09.2024
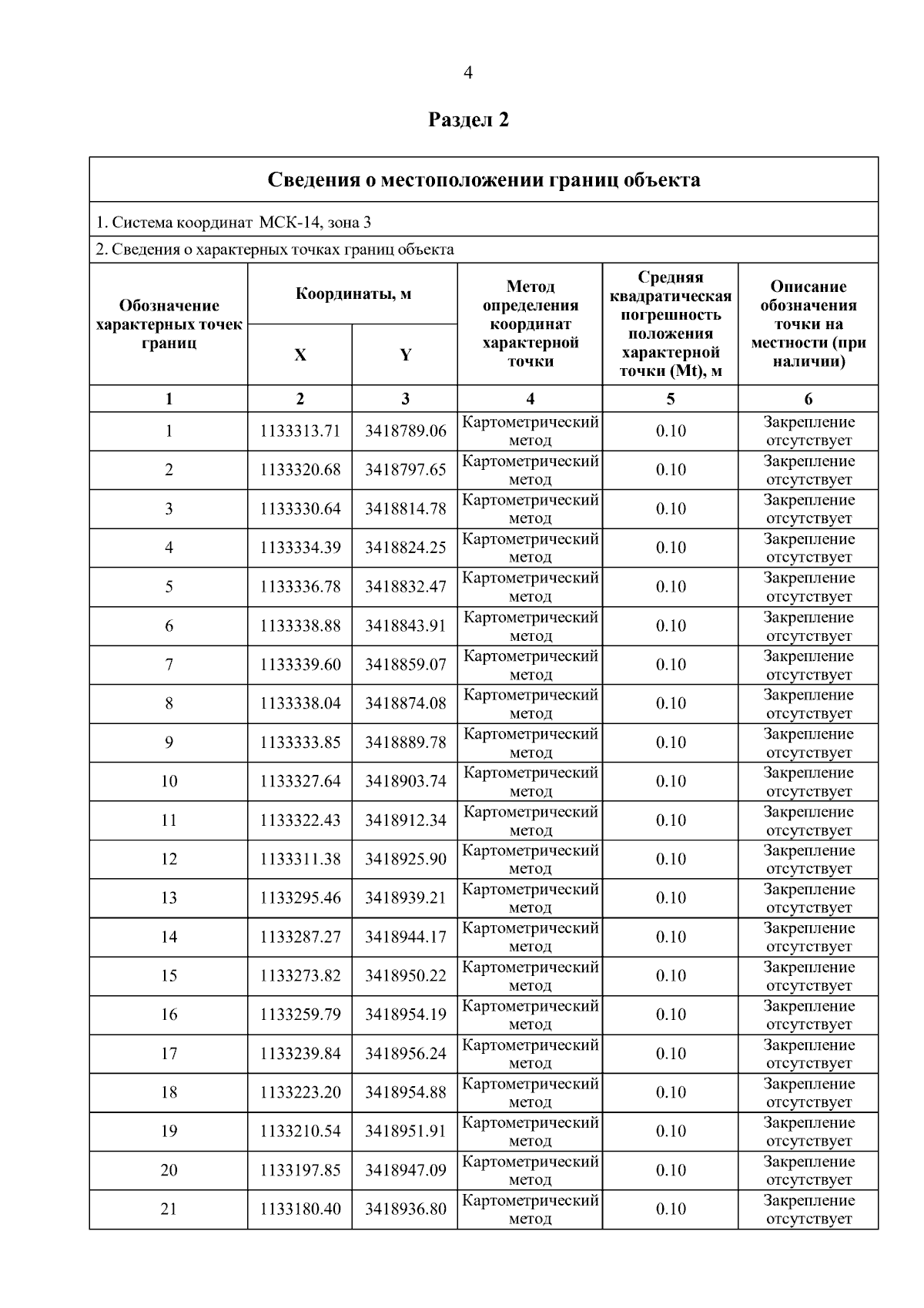
Страница №4 из 16:
Увеличить