Официальное опубликование правовых актов
ОФИЦИАЛЬНОЕ ОПУБЛИКОВАНИЕ
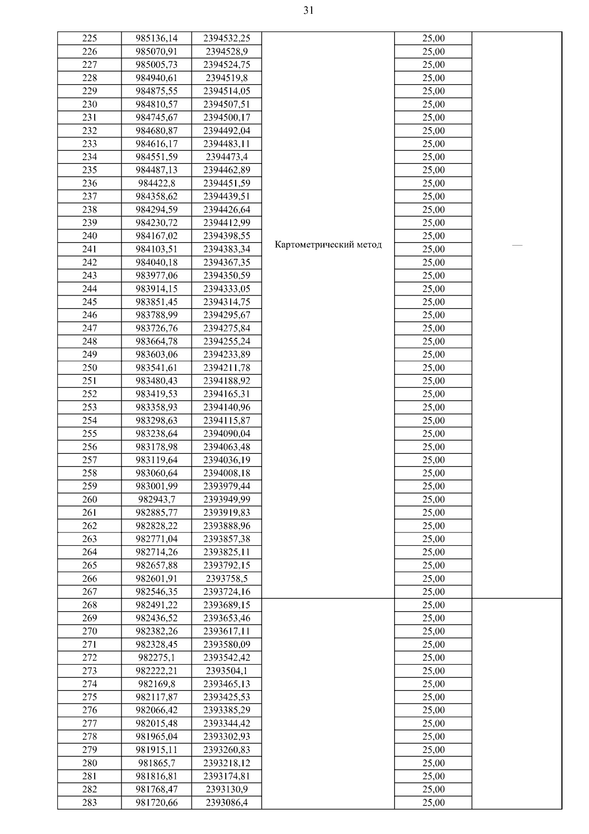
Приказ Министерства экологии, природопользования и лесного хозяйства Республики Саха (Якутия) от 23.08.2024 № 01-05/1-692
"Об установлении границ зон санитарной охраны на водозаборном участке реки Оччугуй-Ботуобуйа для хозяйственно-питьевого и бытового водоснабжения ДОЛ "Орленок" КСК АК "АЛРОСА" (ПАО)"
(Зарегистрирован 02.09.2024 № RU1401420222064)
Номер опубликования: 1401202409030001
Дата опубликования: 03.09.2024
Страница №31 из 45:
Увеличить