Официальное опубликование правовых актов
ОФИЦИАЛЬНОЕ ОПУБЛИКОВАНИЕ
Приказ Министерства экологии, природопользования и лесного хозяйства Республики Саха (Якутия) от 31.07.2024 № 01-05/1-625
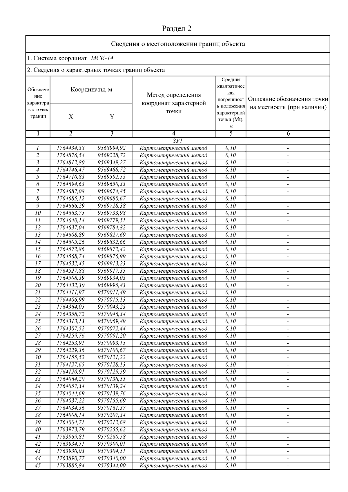
"Об установлении границ зон санитарной охраны водозабора на р. Походская (виска Походская) для питьевого и хозяйственно-бытового водоснабжения населения с. Походск Нижнеколымского района Республика Саха (Якутия)"
(Зарегистрирован 08.08.2024 № RU1401420222034)
Номер опубликования: 1401202408130001
Дата опубликования: 13.08.2024
Страница №9 из 82:
Увеличить