Официальное опубликование правовых актов
ОФИЦИАЛЬНОЕ ОПУБЛИКОВАНИЕ
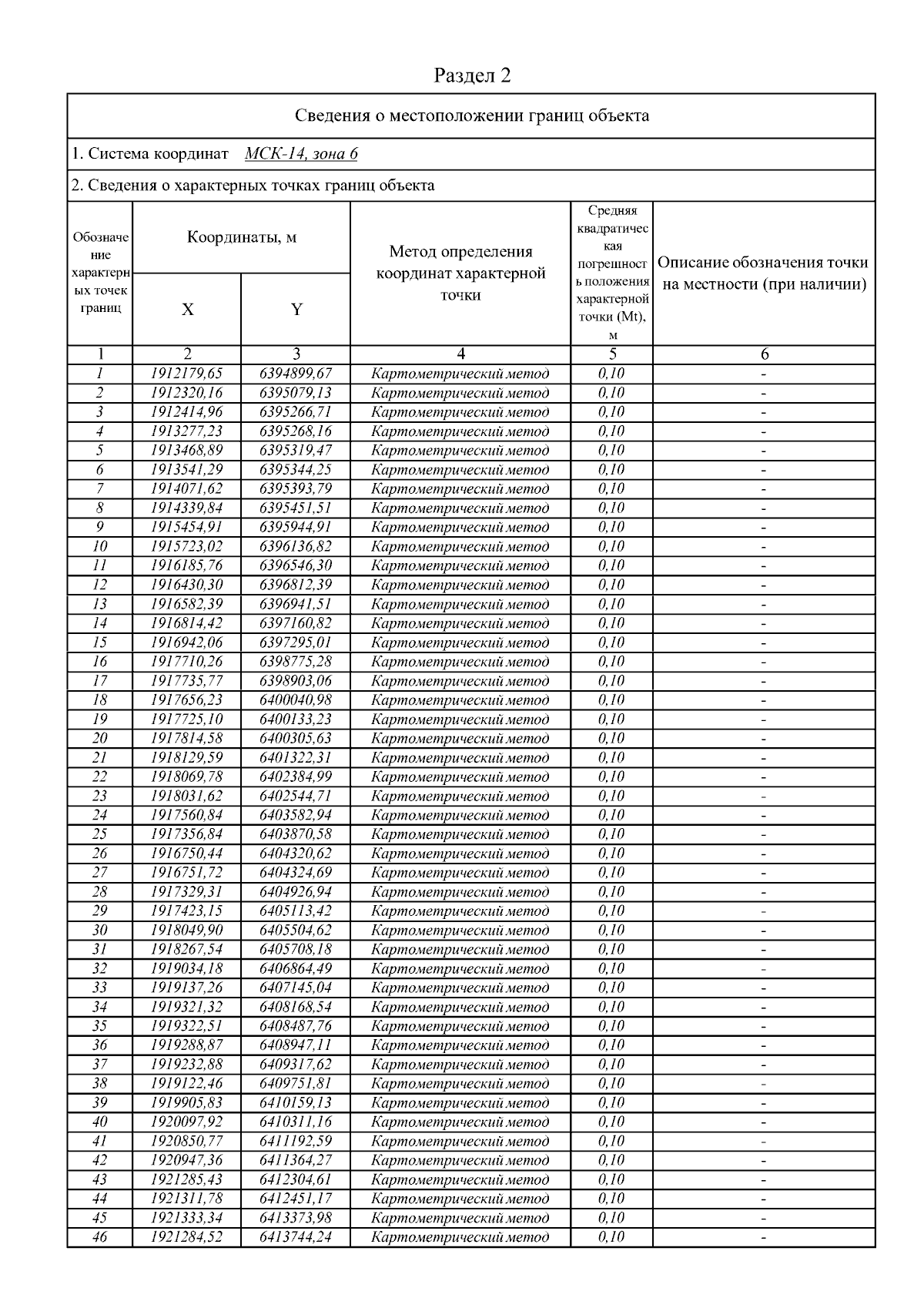
Приказ Министерства экологии, природопользования и лесного хозяйства Республики Саха (Якутия) от 29.07.2024 № 01-05/1-602
"Об установлении границ зон санитарной охраны водозабора на р. Чондон с. Тумат Усть-Янский филиал АО "Теплоэнергосервис"
(Зарегистрирован 09.08.2024 № RU1401420222038)
Номер опубликования: 1401202408120012
Дата опубликования: 12.08.2024
Страница №37 из 56:
Увеличить