Официальное опубликование правовых актов
ОФИЦИАЛЬНОЕ ОПУБЛИКОВАНИЕ
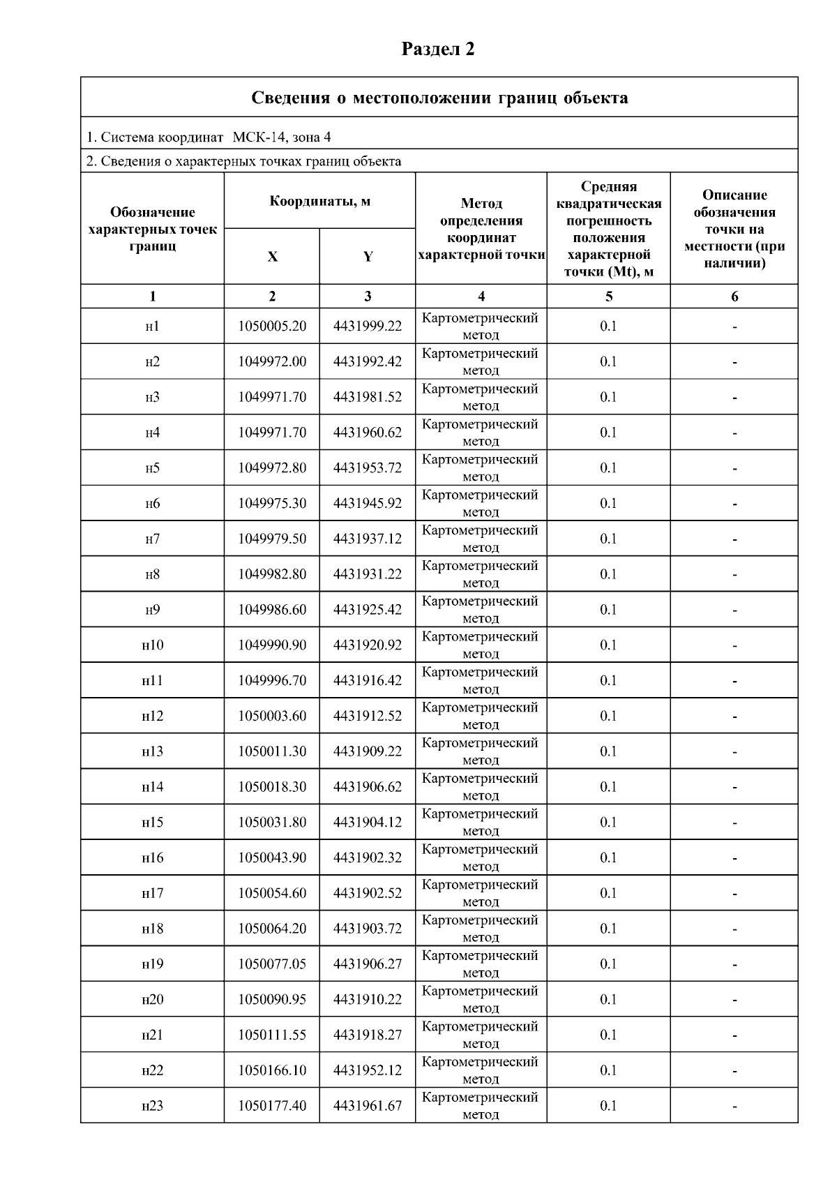
Приказ Министерства экологии, природопользования и лесного хозяйства Республики Саха (Якутия) от 29.07.2024 № 01-05/1- 603
"Об установлении границ зон санитарной охраны водозаборного участка на р. Дюктюэне для питьевого и хозяйственно-бытового водоснабжения с. Бясь-Кюель Муниципального образования "Атамайский наслег" Горного улуса Республики Саха (Якутия)"
(Зарегистрирован 09.08.2024 № RU1401420222037)
Номер опубликования: 1401202408120009
Дата опубликования: 12.08.2024
Страница №4 из 115:
Увеличить