Официальное опубликование правовых актов
ОФИЦИАЛЬНОЕ ОПУБЛИКОВАНИЕ
Приказ Министерства экологии, природопользования и лесного хозяйства Республики Саха (Якутия) от 29.07.2024 № 01-05/1- 610
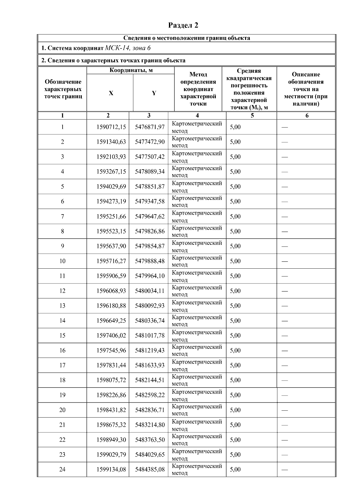
"Об установлении границ зон санитарной охраны водозабора в п. Батагай на р. Яна. Республика Саха (Якутия), Верхоянский район, п. Батагай, р. Яна в 723,5 км. от устья"
(Зарегистрирован 09.08.2024 № RU1401420222040)
Номер опубликования: 1401202408120005
Дата опубликования: 12.08.2024
Страница №18 из 27:
Увеличить