Официальное опубликование правовых актов
ОФИЦИАЛЬНОЕ ОПУБЛИКОВАНИЕ
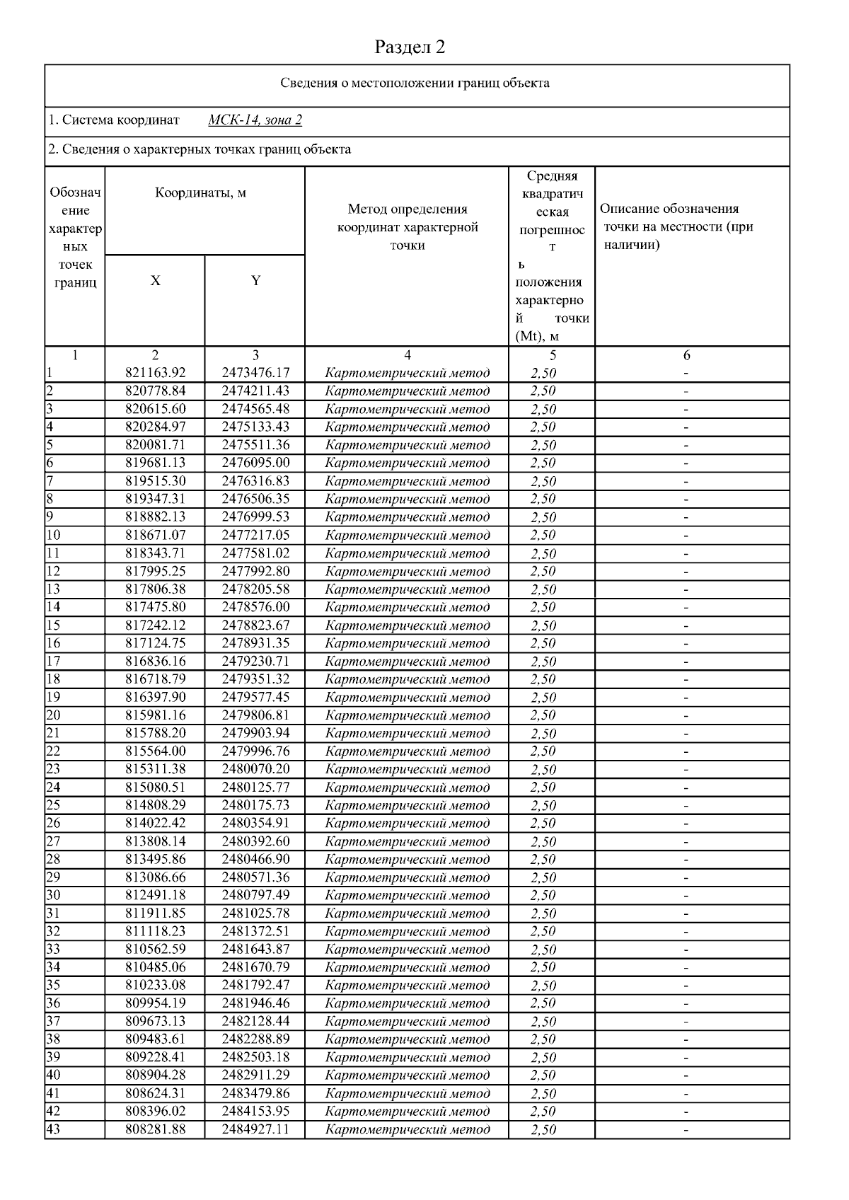
Приказ Министерства экологии, природопользования и лесного хозяйства Республики Саха (Якутия) от 31.07.2024 № 01-05/1-624
"Об установлении границ зон санитарной охраны водозаборного участка на р. Лена для питьевого и хозяйственно-бытового водоснабжения с. Солянка Муниципального образования "Солянский наслег" Олекминского улуса (района) Республика Саха (Якутия), на левом берегу реки Лена"
(Зарегистрирован 09.08.2024 № RU1401420222042)
Номер опубликования: 1401202408120004
Дата опубликования: 12.08.2024
Страница №46 из 91:
Увеличить