Официальное опубликование правовых актов
ОФИЦИАЛЬНОЕ ОПУБЛИКОВАНИЕ
Приказ Министерства экологии, природопользования и лесного хозяйства Республики Саха (Якутия) от 01.07.2024 № 01-05/1-492
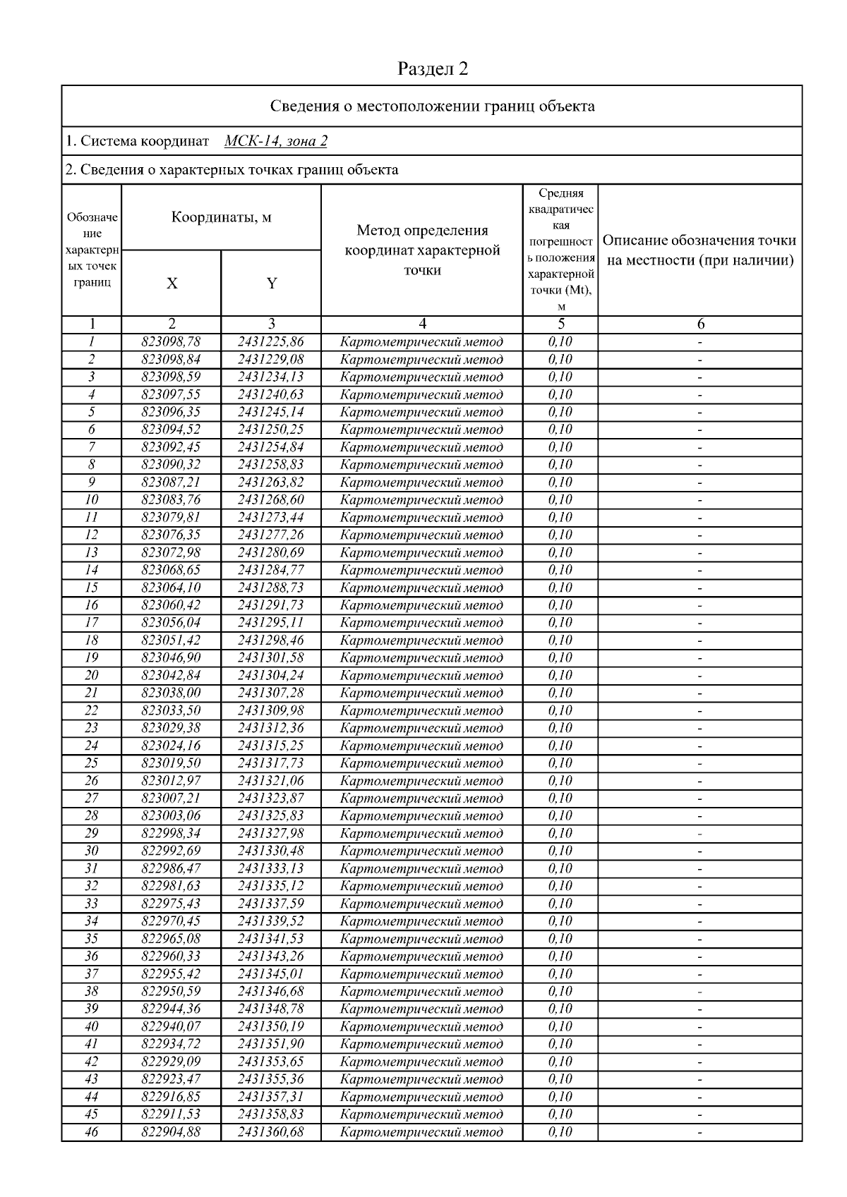
"Об установлении границ зон санитарной охраны для водозаборной скважины №4 "Теплица" Вилюйского филиала АО "Теплоэнергосервис". Республика Саха (Якутия), Ленский район, г. Ленск, мкр. Разведчик"
(Зарегистрирован 16.07.2024 № RU1401420222001)
Номер опубликования: 1401202407170002
Дата опубликования: 17.07.2024
Страница №14 из 27:
Увеличить