Официальное опубликование правовых актов
ОФИЦИАЛЬНОЕ ОПУБЛИКОВАНИЕ
Приказ Государственного комитета по ценовой политике Республики Саха (Якутия) от 20.06.2024 № 19
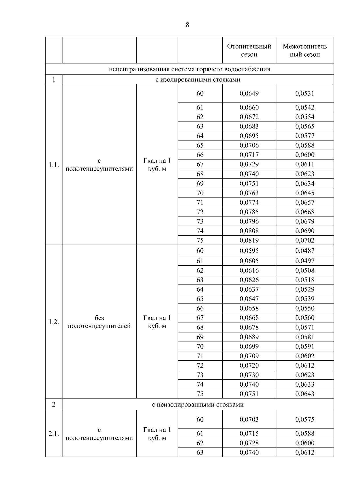
"Об утверждении нормативов потребления коммунальных услуг и нормативов потребления коммунальных ресурсов в целях содержания общего имущества в многоквартирном доме"
(Зарегистрирован 25.06.2024 № RU1401420221950)
Номер опубликования: 1401202406260035
Дата опубликования: 26.06.2024
Страница №11 из 29:
Увеличить