Официальное опубликование правовых актов
ОФИЦИАЛЬНОЕ ОПУБЛИКОВАНИЕ
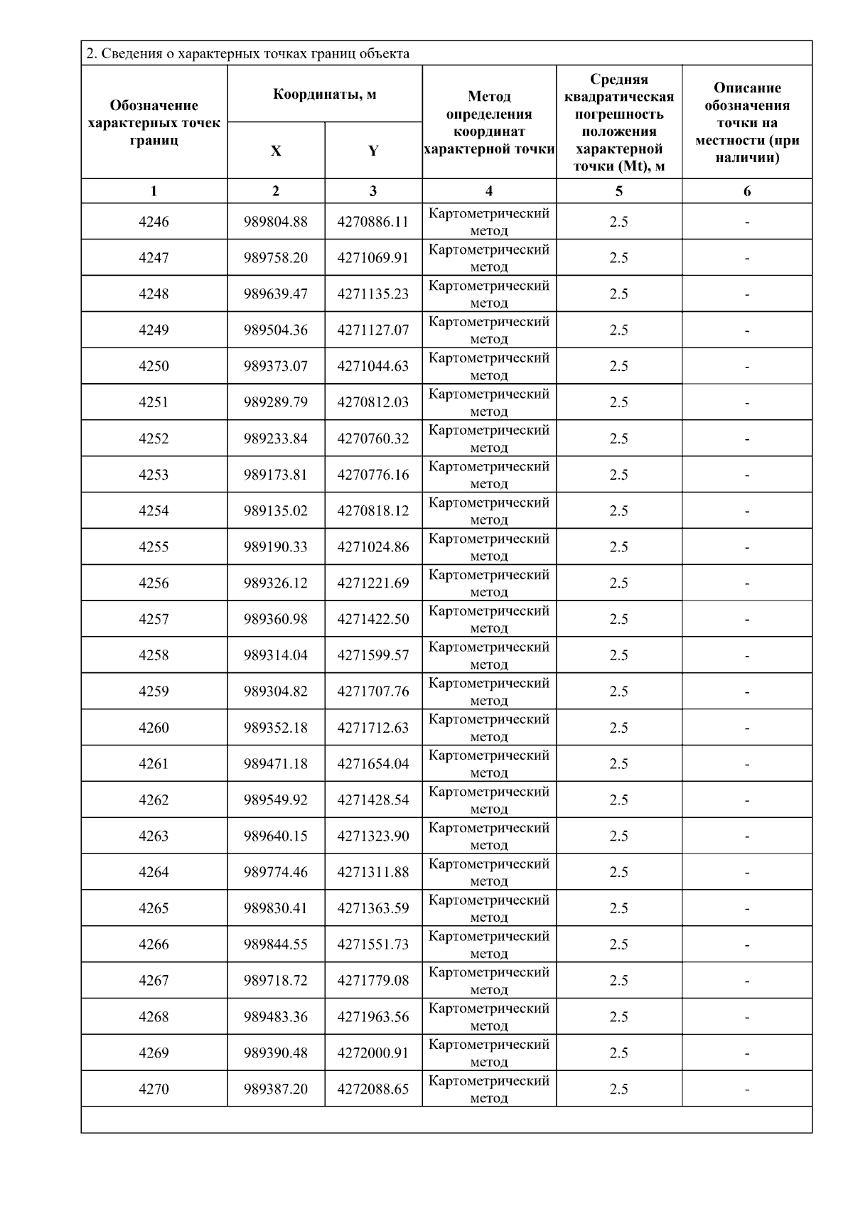
Приказ Министерства экологии, природопользования и лесного хозяйства Республики Саха (Якутия) от 03.06.2024 № 01-05/1-408
"Об утверждении графического описания Природного парка "Синяя"
(Зарегистрирован 10.06.2024 № RU1401420221938)
Номер опубликования: 1401202406110001
Дата опубликования: 11.06.2024
Страница №173 из 308:
Увеличить