Официальное опубликование правовых актов
ОФИЦИАЛЬНОЕ ОПУБЛИКОВАНИЕ
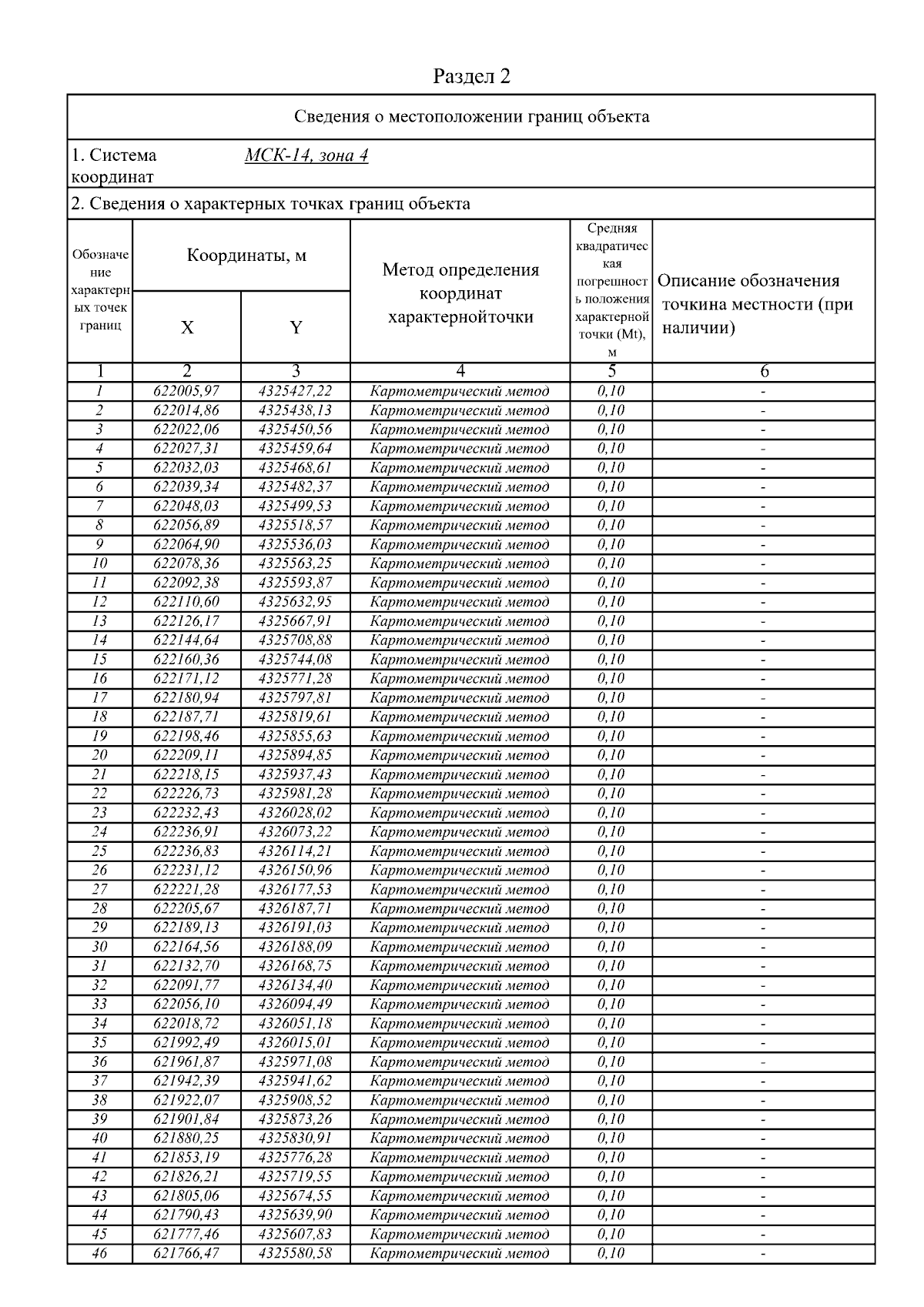
Приказ Министерства экологии, природопользования и лесного хозяйства Республики Саха (Якутия) от 08.04.2024 № 01-05/1-244
"Об установлении границ зон санитарной охраны скважины №АД-11, п. Хатыстыр Алданского филиала АО «Теплоэнергосервис» Республики Саха (Якутия)"
(Зарегистрирован 10.04.2024 № RU1401420221895)
Номер опубликования: 1401202404170003
Дата опубликования: 17.04.2024
Страница №17 из 23:
Увеличить