Официальное опубликование правовых актов
ОФИЦИАЛЬНОЕ ОПУБЛИКОВАНИЕ
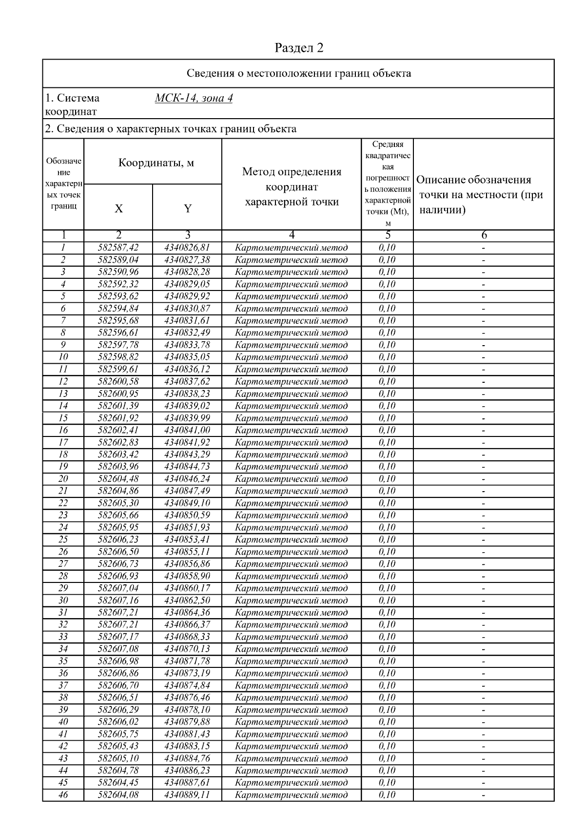
Приказ Министерства экологии, природопользования и лесного хозяйства Республики Саха (Якутия) от 02.04.2024 № 01-05/1-229
"Об установлении границ зон санитарной охраны скважины №Я10038, п. Ленинский Алданского филиала АО "Теплоэнергосервис" Республики Саха (Якутия)"
(Зарегистрирован 08.04.2024 № RU1401420221889)
Номер опубликования: 1401202404090001
Дата опубликования: 09.04.2024
Страница №8 из 22:
Увеличить